I think the trick is to get the named ties that get extra attack dice into the mix. Yougster with Epsilon Leader, 2 out of these 3 guys - Scourge, Mauler Mithel, Bachstabber - a BSP with Wingman and an Academy. That is 6 ships, stress shedding abilities and some fully moded 3 or 4 dice attacks. No one in the list is the obvious must kill target except maybe Yougster, who as has been mentioned, can hang way back out of range or dive in to draw the enemy into a chase where you get behind them with the rest of your squad. I wound even put VI on Mauler and Scourge to give you 2 PS9 pilots to really mess with other guys aces.
(Yet Another) Rageswarm thread
Sounds interesting, but I have sworn off the TIE Fighter as trash, at least for me. All the **** things ever do is blow up in one shot. Literally every time. I haven't had one with a damage card in months, just one and done over and over. F/Os merely last 2 shots. I can't stand the **** things; they ruin my gaming high, lol.
That being said, for someone who doesn't experience this, your second option seems best.
I play strictly Imperial and have almost NEVER had a TIE Fighter/ln die in one shot. Often, they are taken to one hull, then that one becomes my primary blocker on the next turn so the ship that just hit it can't hit it again. Sounds like you need better practice in flying TIE swarms.
I have been playing for 3+ years, with probably 4-5 tournament wins to my credit, but thanks for the condescension in assuming that I don't know how swarms or blockers work. For the record, I don't play swarms and would rather lose an eye than play a swarm list as they are on par with a PWT for sheer boredom, so that's 100% missing the point. It's not about them colliding or not having tokens, they just die. I can have a focus and still roll all blanks like a champ. I can have an Evade and sure enough I will take a hit/Direct Hit. Note, this doesn't apply to Interceptors, Bombers, Defenders, Advanced, etc., just Fighters and F/Os, and yes, my probably curve is unusual. But since it is my experience, they are crap and this frustration is from over 3 years of consistently terrible performance. They may be an "efficient" ship based on math, but for me, they are garbage.
Sounds interesting, but I have sworn off the TIE Fighter as trash, at least for me. All the **** things ever do is blow up in one shot. Literally every time. I haven't had one with a damage card in months, just one and done over and over. F/Os merely last 2 shots. I can't stand the **** things; they ruin my gaming high, lol.
That being said, for someone who doesn't experience this, your second option seems best.
I play strictly Imperial and have almost NEVER had a TIE Fighter/ln die in one shot. Often, they are taken to one hull, then that one becomes my primary blocker on the next turn so the ship that just hit it can't hit it again. Sounds like you need better practice in flying TIE swarms.
TIE Fighters have 3 agility dice, and are likely to be focused (which on 3 agi translates to slightly more than an evade token if you're defending against 2 or more attacks in a round).
That's an expected damage mitigation of appx 2 for the first attack, and slightly better when spread over multiple.
You regularly face attacks of 5 expected damage? I think you need better dice, my friend.
Could be the dice, absolutely. Except that they completely disappear ONLY for TIE Fighters. As noted above, other TIE variants? No problem. A-Wings, Aggressors, StarVipers, other 3-Agi ships... no problem. TIE Fighters just die, token or not. I have given up trying to understand it, I just don't take the stupid things anymore.
...Last time you had a TIE survive a round, were you playing against a Gypsy or a Hoodoo witch?
Ahh, but the possibility of a spike increases over multiple attacks, as you do not spend the focus token when you gain no benefit from doing so.
(which on 3 agi translates to slightly more than an evade token if you're defending against 2 or more attacks in a round)
An off topic aside I think this statement is blatantly false unless the math is assuming the statistical benefit of the focus token applies to all attacks which would be hilariously faulty.
3 raw dice evade 1.125, 3 focus dice evade 1.875 and 3 evaded dice evade 2.125. The number of attacks received doesn't matter since holding a focus token doesn't make your averages better it just provides the possibility of a spike (one which you may not live to see or see at all).
Math explanation here, by VorpalSword.
The math there is interesting but it's not being presented in an accurate way. The argument is cleverly constructed to look solid but is sneakily twisting things in the favor of focus being better, thus being a self fulfilling conclusion. The actual math should discount rolls of both 1 eye and 0 eyes as the same since the question is NOT 'when is focus the same as evade' but rather 'when is focus better than evade'.
Fine, I'll break it down for you.
In a single attack, there is a 27/64 chance that the focus token will not be used, a 27/64 that it can evade 1 damage, a 9/64 chance that it will evade 2 damage, and a 1/64 chance that it can evade 3.
You can't make blanket statements about how likely the defender is to keep his focus unless you know the attacker's probability distribution function.
Consider the 2-dimensional PDF where columns are damage, and rows are defender focus remaining. (Top left is 0,0)
3 unmodified red dice vs 3 green dice + focus
0.2334 0.0747 0.0132 0
0.5337 0.0989 0.0396 0.0066
The probability of the defender still having focus remaining after this attack is 67.87%.
3 red dice + focus vs 3 green dice + focus
0.2626 0.1631 0.0445 0
0.2776 0.1409 0.0890 0.0222
The probability of the defender still having focus remaining after this attack is 52.98%.
The PDF of the defender's roll is the same in both cases, but because the first attack is weaker, the defender does not have to spend the focus token as often.
Edited by MajorJuggler
Ahh, but the possibility of a spike increases over multiple attacks, as you do not spend the focus token when you gain no benefit from doing so.
(which on 3 agi translates to slightly more than an evade token if you're defending against 2 or more attacks in a round)
An off topic aside I think this statement is blatantly false unless the math is assuming the statistical benefit of the focus token applies to all attacks which would be hilariously faulty.
3 raw dice evade 1.125, 3 focus dice evade 1.875 and 3 evaded dice evade 2.125. The number of attacks received doesn't matter since holding a focus token doesn't make your averages better it just provides the possibility of a spike (one which you may not live to see or see at all).
Math explanation here, by VorpalSword.
The math there is interesting but it's not being presented in an accurate way. The argument is cleverly constructed to look solid but is sneakily twisting things in the favor of focus being better, thus being a self fulfilling conclusion. The actual math should discount rolls of both 1 eye and 0 eyes as the same since the question is NOT 'when is focus the same as evade' but rather 'when is focus better than evade'.
Fine, I'll break it down for you.
In a single attack, there is a 27/64 chance that the focus token will not be used, a 27/64 that it can evade 1 damage, a 9/64 chance that it will evade 2 damage, and a 1/64 chance that it can evade 3.
You can't make blanket statements about how likely the defender is to keep his focus unless you know the attacker's probability distribution function.
Consider the 2-dimensional PDF where columns are damage, and rows are defender focus remaining. (Top left is 0,0)
3 unmodified red dice vs 3 green dice + focus
0.2334 0.0747 0.0132 0
0.5337 0.0989 0.0396 0.0066
The probability of the defender still having focus remaining after this attack is 67.87%.
3 red dice + focus vs 3 green dice + focus
0.2626 0.1631 0.0445 0
0.2776 0.1409 0.0890 0.0222
The probability of the defender still having focus remaining after this attack is 52.98%.
The PDF of the defender's roll is the same in both cases, but because the first attack is weaker, the defender does not have to spend the focus token as often.
A fair point.
I guess my model assumed 3+ incoming damage per attack, lol.
With lesser amounts, the higher results of a focus token's worth would be weighted less, and it therefore wouldn't be worth as much.
Vs a HWK 290 without a turret, Evade token's going to be better defensively 100% of the time ![]()
Yes, if you had "3 dice Accuracy Corrector" then you would get a different result.
3 guaranteed hits vs 3 green dice + focus
0.1914 0.2813 0.1055 0
0.0527 0.1582 0.1582 0.0527
The defender has a 42.19% chance of still having focus after the attack, which is your 27/64 number, or equivalently simply:
42.19% = (6/8)3


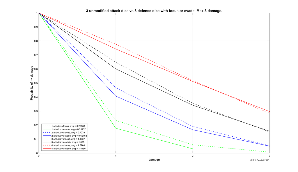
So, if I'm reading this correctly, the point where the dotted line crosses the solid line in each instance is the point in which Focus defends better on average?
The Y-axis is the probability that the defender will suffer at least X damage, where X is the value on the X-axis.
When the lines cross then the defender is more likely to suffer X damage if it has a focus token instead of having an evade.
The average damages (capped at 3) are listed in the legend on the bottom left. So in the case of the 2nd graph, evade results in less average damage than focus for 1 or 2 incoming attacks, and they are nearly equal for 3 or 4 attacks. In the first graph, evade is better for 1-4 attacks, with the biggest difference pronounced at only 1 attack.
Edited by MajorJugglerThe Y-axis is the probability that the defender will suffer at least X damage, where X is the value on the X-axis.
When the lines cross then the defender is more likely to suffer X damage if it has a focus token instead of having an evade.
The average damages (capped at 3) are listed in the legend on the bottom left. So in the case of the 2nd graph, evade results in less average damage than focus for 1 or 2 incoming attacks, and they are nearly equal for 3 or 4 attacks. In the first graph, evade is better for 1-4 attacks, with the biggest difference pronounced at only 1 attack.
The vertical average would be better than the horizontal for our argument, methinks.
Like, "After 3 attacks, the average dealt would be___" rather than "The average damage dealt by 3 incoming damage is XXX"
Some Rageswarm I've been theoricrafting lately with a friend, taking into account his ship/upgrade card limitation, but I feel it would be a pretty potent list on its own:
Youngster with Rage
2x Omega Squadron Pilot with Wired
4x Academy Pilot
I'm hoping it would mess up the enemy's target priority a bit (assuming you keep Youngster back): the Omegas hit harder when stressed than the Academies, but they're also more potent defensively( Wired+1 Shield).
Sounds interesting, but I have sworn off the TIE Fighter as trash, at least for me. All the **** things ever do is blow up in one shot. Literally every time. I haven't had one with a damage card in months, just one and done over and over. F/Os merely last 2 shots. I can't stand the **** things; they ruin my gaming high, lol.
That being said, for someone who doesn't experience this, your second option seems best.
I play strictly Imperial and have almost NEVER had a TIE Fighter/ln die in one shot. Often, they are taken to one hull, then that one becomes my primary blocker on the next turn so the ship that just hit it can't hit it again. Sounds like you need better practice in flying TIE swarms.
I have been playing for 3+ years, with probably 4-5 tournament wins to my credit, but thanks for the condescension in assuming that I don't know how swarms or blockers work. For the record, I don't play swarms and would rather lose an eye than play a swarm list as they are on par with a PWT for sheer boredom, so that's 100% missing the point. It's not about them colliding or not having tokens, they just die. I can have a focus and still roll all blanks like a champ. I can have an Evade and sure enough I will take a hit/Direct Hit. Note, this doesn't apply to Interceptors, Bombers, Defenders, Advanced, etc., just Fighters and F/Os, and yes, my probably curve is unusual. But since it is my experience, they are crap and this frustration is from over 3 years of consistently terrible performance. They may be an "efficient" ship based on math, but for me, they are garbage.
Notice how people change their meanings. This isn't what the OP/you said in your first post. You said simply that they always die in one shot. What you SHOULD HAVE said was that you had terrible luck with the TIE/ln, rolling horribly so that they always die. Had you said that, there would have been a different reply.
As to difficulty and boredom, you are entitled to your opinion, but TIE Swarms are anything but boring. Maneuvering 3-4 ships around asteroids and 3-4 other ships is challenging, doing it with 6-8 TIE/ln fighters is anything but boring, especially with fragile ships that are often dead after being targeted twice. No sir, here is where the true mastery of flying in X-Wing can be found.
Therefore, since you say they are still garbage, I would again suggest you aren't using them properly, and haven't discovered how to really fly a swarm. This isn't a knock on your ability per se, it's more of your flying style. A person can much more enjoy the jousting part of the game and the squad synergy/development, and those are their strengths, and that may or may not apply to certain TIE swarms. They are fragile and can't be flown the same as a YT-1300 or VT-49. However, look at the the changes to the meta through 8 waves now and you can see that one of the only competitive lists that has been persistent has been the TIE swarm. Why hasn't it won more tournaments? Because it is that difficult to fly, and sure, it doesn't have rebel regen/TLT stuff (i.e., newb easy) that makes up for mistakes. Flying 6-8 ships it is easy to make a mistake, but flown by a skillful player, it is always a threat.
Edited by DHKnecht
Ahh, but the possibility of a spike increases over multiple attacks, as you do not spend the focus token when you gain no benefit from doing so.
(which on 3 agi translates to slightly more than an evade token if you're defending against 2 or more attacks in a round)
An off topic aside I think this statement is blatantly false unless the math is assuming the statistical benefit of the focus token applies to all attacks which would be hilariously faulty.
3 raw dice evade 1.125, 3 focus dice evade 1.875 and 3 evaded dice evade 2.125. The number of attacks received doesn't matter since holding a focus token doesn't make your averages better it just provides the possibility of a spike (one which you may not live to see or see at all).
Math explanation here, by VorpalSword.
The math there is interesting but it's not being presented in an accurate way. The argument is cleverly constructed to look solid but is sneakily twisting things in the favor of focus being better, thus being a self fulfilling conclusion. The actual math should discount rolls of both 1 eye and 0 eyes as the same since the question is NOT 'when is focus the same as evade' but rather 'when is focus better than evade'.
Fine, I'll break it down for you.
In a single attack, there is a 27/64 chance that the focus token will not be used, a 27/64 that it can evade 1 damage, a 9/64 chance that it will evade 2 damage, and a 1/64 chance that it can evade 3.
You can't make blanket statements about how likely the defender is to keep his focus unless you know the attacker's probability distribution function.
Consider the 2-dimensional PDF where columns are damage, and rows are defender focus remaining. (Top left is 0,0)
3 unmodified red dice vs 3 green dice + focus
0.2334 0.0747 0.0132 0
0.5337 0.0989 0.0396 0.0066
The probability of the defender still having focus remaining after this attack is 67.87%.
3 red dice + focus vs 3 green dice + focus
0.2626 0.1631 0.0445 0
0.2776 0.1409 0.0890 0.0222
The probability of the defender still having focus remaining after this attack is 52.98%.
The PDF of the defender's roll is the same in both cases, but because the first attack is weaker, the defender does not have to spend the focus token as often.
Mathiness FTW!!!!!
Would adding Howlrunner to a rage swarm be worthwhile insurance? If Youngster is still around it might be a waste of 6 points but it doesn't hurt so much to lose him.
Youngster with rage (16)
Epsilon Leader (19)
Howlrunner with Crackshot (19)
3X Crackblacks (45)